• korea Arts management service
  • KAMS Now
  • Program
  • About KAMS
    • Sitemap
    • |
    • Korean
    • Performing Arts Support Project
    • Visual Arts Support Project
    • Orgainzational Support Project for Artistic Organizations
    • Arts Korea Lab
    • Greetings
    • History
    • Organization Chart
    • Contact & Map
    • Logo

KAMS Now

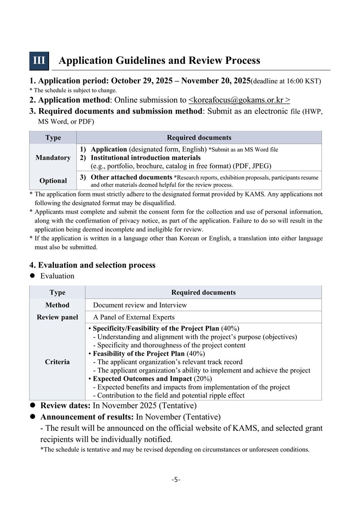
[Call for Applications] 2025-2026 KAMS Korea Focus Support Program(2nd Round)

KAMS Now
Date 2025-10-29
File [Call For Application] 2025-2026 Korea Focus Support Program(2nd Round)(0).pdf
Application Form_2025-2026 Korea Focus Suppor Program(2nd Round)(2).docx








 

Prev [1st Results Announcement] 2025-2026 KAMS Korea Focus Support Program
Next 2025 SPECIAL EXHIBITION OF OUTSTANDING ARTISTS DIALOGUE: Unread

Korea Art Management Service

Korea Art Management Service

12F, Hongik University Daehak-ro Campus, 57, Daehak-ro, Jongno-gu, Seoul 110-460, Korea    Tel : +82-2-708-2244,   Fax : +82-2-708-2241 Copyright(c) 2009 www.gokams.or.kr All rights Reserved. For more information
MCST